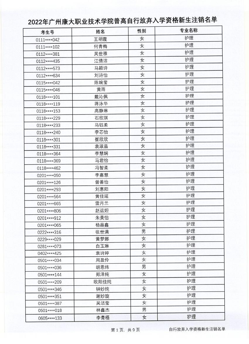
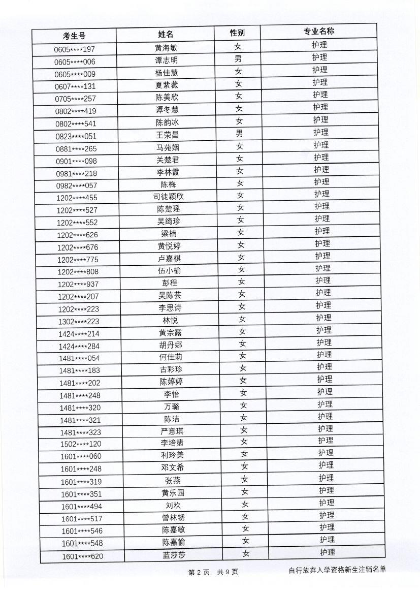
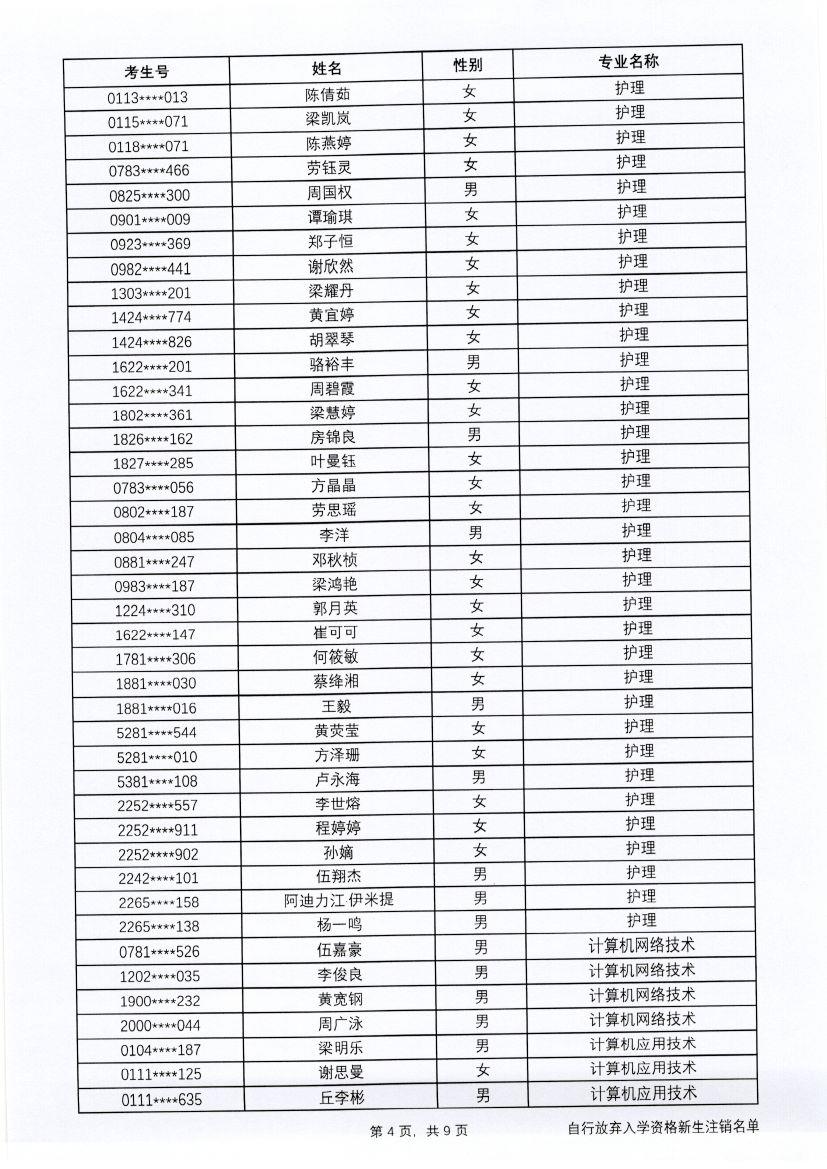
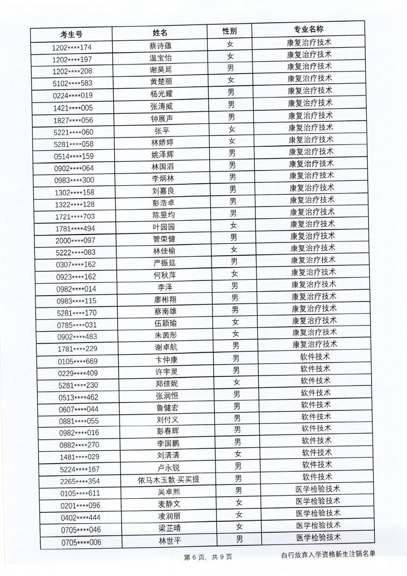
【信息公开】我院2022年普通高考放弃入学资格考生注销名单公示

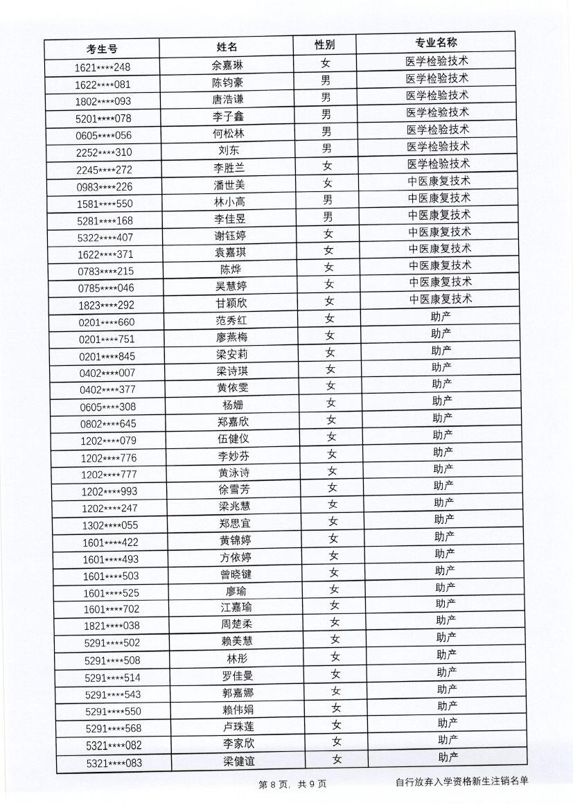
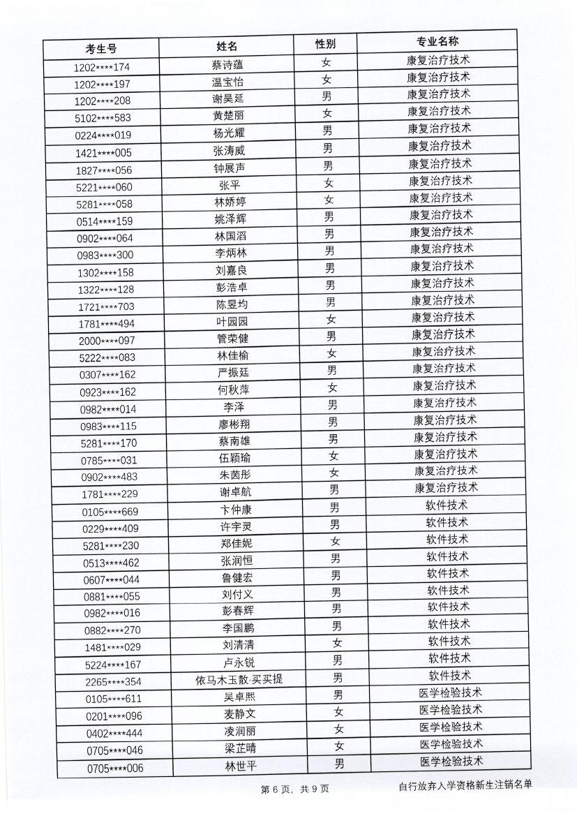
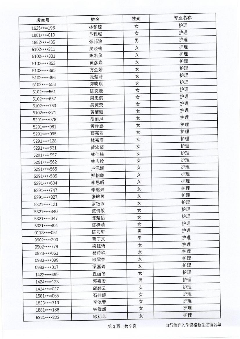
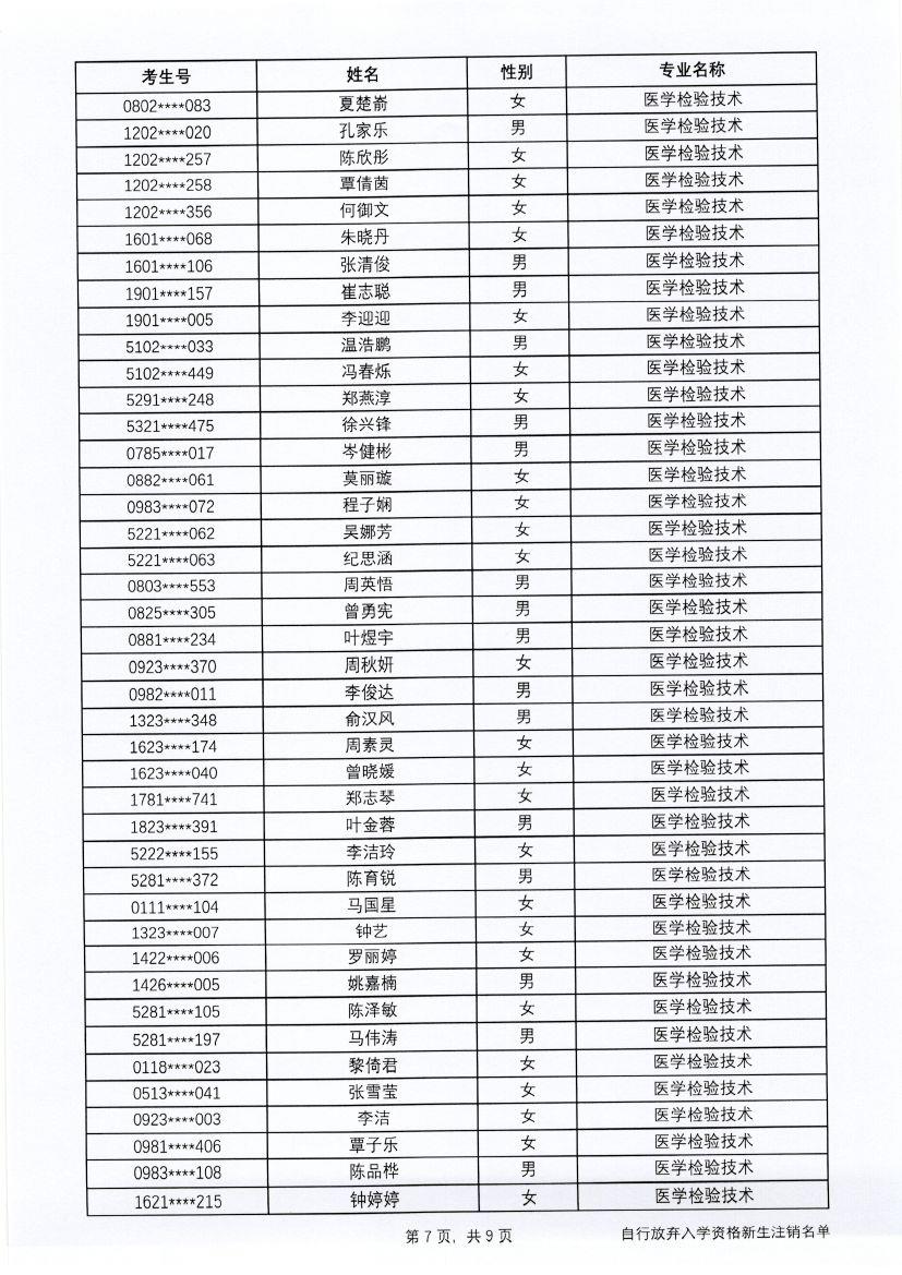
 根据广东省招生委员会《关于做好2022年广东省普通高等学校录取新生报到工作的通知》(粤招办普【2022】45号)文件规定,对未经高等学校同意逾期不报到的考生,将视其自行放弃入学资格。经研究决定,拟注销以下考生的入学资格,现予以公示(见附件)。
  公示期自2022年11月7日至11月14日。如有异议,请在公示期间联系我办,电话:020-82878969。
  特此公示。
 
招生办公室
2022年11月7日
\\\
\\\\\\\